
AIの発展が著しい昨今、より高度な知識を持ち、開発を牽引できる人材が求められています。こうしたなかで改めてその重要性を確認しておきたいのが、「線形代数」です。線形代数は、主成分分析 (PCA) や特異値分解、ディープラーニングなど、現代の重要な機械学習アルゴリズムを支える概念です。複雑なデータ群を簡潔に表現する特性と、効率的かつ高速な計算処理を実現する特性を持ち、AI開発において不可欠な役割を担っています。この記事では、線形代数の概要やAI・機械学習・プログラミングにおけるその必要性、エンジニアとして線形代数を学習するための効果的な方法などについてご紹介します。
AIに必要不可欠な線形代数とは?
線形代数とは、線形空間と線形写像を中心に扱う数学の一分野で、ベクトルや行列などの概念を通して現実世界のさまざまな現象を抽象的に捉え、分析・計算するための理論体系です。例えば、音声や写真などのデータをそのまま計算することは困難ですが、線形代数の概念を利用すれば、数式へと変換して処理することが可能となります。
線形代数は大量のデータを簡潔に表し、まとめて処理することが得意なため、連立一次方程式の解法から、熱流や振動といった物理現象のモデル化にまで幅広く応用されています。物理学や工学、経済学をはじめ、AIや機械学習の分野における共通言語として不可欠な学問です。
線形代数に用いられる主要な概念や理論には、以下のようなものがあります。
| ベクトル |
「向き」と「大きさ」を持つ量または単なる数(スカラー)の集まりを、縦あるいは横に並べたもの。物理学では位置や速度などの表現に使われる。 |
| 線形空間(ベクトル空間) |
ベクトルが集まる空間。線形空間では、ベクトルの足し算とスカラー倍(定数倍)といった基本的な演算ルールが定義され、特定の公理を満たす。 |
| 行列 |
数や文字を縦横に並べたもので、ベクトルに作用させることで、回転、拡大縮小といった「線形変換」を表現できる。 |
| 逆行列 |
実数の逆数に相当する概念で、行列の積 AA-1 = A-1A = E (Eは単位行列)を満たす行列 A-1 のこと。行列式 |A|≠0 が存在条件。 |
| 線形写像(線形変換) |
加法性と斉次性という2つの性質を保ったまま、ベクトルを別のベクトル空間へと移す写像(関数)のこと。定義域と終域が同じベクトル空間の場合には線形変換と呼ばれ、行列で表現できる。 |
| 行列演算 |
行列に対して行う数学的な操作の総称で、加算、減算、スカラー倍、乗算、転置などがあり、一定の規則に従って計算される。 |
| 線形方程式(一次方程式) |
現実世界の複雑な関数やデータ群を数学的に扱いやすい形式に簡略化する(線形近似する)上で重要な役割を持つ。変数の次数が1のものが一次方程式。 |
| 固有ベクトル |
行列を作用させて線形変換を行っても、スカラー倍になるだけで元の方向を保つ特別なベクトル。 |
| 固有値 |
線形変換によって固有ベクトルがどれだけ拡大・縮小されるかを示す値。行列の特性を調べるのに用いられ、システムの安定性分析、主成分分析、行列の対角化などに不可欠な概念。 |
線形代数の仕組みについて
線形代数の仕組みについて基礎から学ぶ際は、具体的な問題を解決するための「計算手法」と、抽象的な概念を視覚化するのに役立つ「空間操作の表現」に着目すると理解しやすいです。
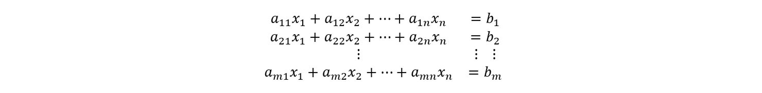
まず、計算手法の例として連立一次方程式の解法を考えます。連立一次方程式は、資源配分、回路解析、経済モデルなど、現実世界における多くの問題を表す基本的な数学的モデルです。その解法を研究する過程で行列が見いだされ、線形代数学が発展したともいわれています。
n個の未知数 x_1,x_2,…,x_nとm個の方程式がある場合、連立一次方程式は次のような形式で表されます。

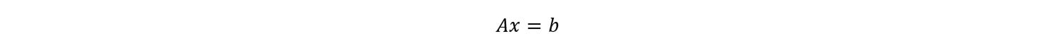
これは行列を用いて、非常に簡潔に

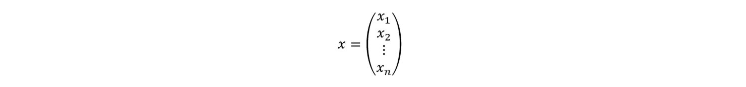
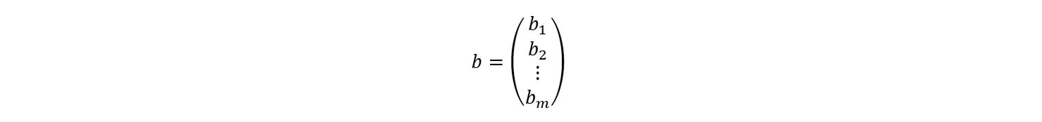
という形で表現できます。 Aは係数行列、 xは未知数ベクトル、 bは定数ベクトルです。各要素は以下の通りです。
A:係数行列(m×n行列)

x:未知数ベクトル(n×1ベクトル)

b:定数項ベクトル(m×1ベクトル)

解法としては、ガウスの消去法や、正方行列 Aが正則(逆行列 A-1 が存在する)な場合に x=A-1 b として逆行列を用いる方法などがあります。以下の図はその一例です。

こうした行列を用いた解法は、基本的に行基本変形などの代数的な操作に基づいており、複雑な計算式を簡略化させることができます。また、計算の負荷を減らすだけでなく、計算の自動化や問題の構造理解、科学技術に関する計算全般への応用を可能にするというメリットがあります。
続いて、空間操作の表現の一例として、回転行列について考えます。回転行列は、2次元または3次元空間における剛体回転(物体の形や大きさを変えずに回転させる変換)を表現するために使用されます。
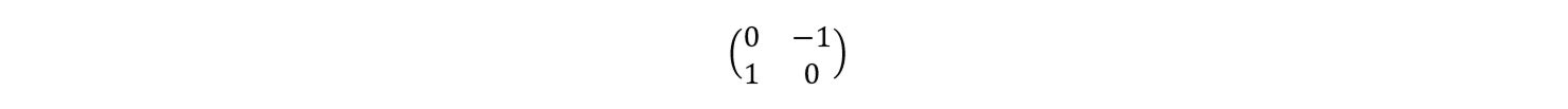
例えば、2次元平面上で原点を中心に角θだけ反時計回りに回転させる行列Rは次のように示されます。

ある点 (x,y)をこの行列で変換すると、回転後の点 (x',y')は次のように計算されます。

例えば、 θ=90°の場合には、cos90°=0、 sin90°=1 であるため、

を用いて線形変換すればよいことがわかります。以下の図はその具体例です。

回転行列の本質は幾何学的な変換であり、空間内の点の位置や向きを変換することを目的としています。線形代数が物理学やコンピューターグラフィックス、ロボティクスなどの分野でどのように生かされるかを示す好例ともいえます。
プログラミングにおける線形代数の必要性
すべてのプログラマーに高度な線形代数の知識が必須というわけではありません。例えば、Webサイトや顧客管理システムなどのアプリケーション開発、UI / UXデザインといった分野では、基礎的な数学的思考力があれば十分な場合も多いです。
ただ、大規模なデータ処理や空間演算を伴う分野でのプログラミングでは、計算の高速化と数学的な抽象化の両面で、線形代数は非常に重要な役割を果たします。例えば、AI開発やデータ分析、信号処理、ロボット工学といった専門分野がその代表です。特にゲーム開発では、3D空間での物体の回転や拡大縮小、視点変換といった幾何学的な操作を可能にするために線形代数の知識が必須になります。
こういった分野では、線形代数への深い理解がパフォーマンスを最適化する上で強力な武器となります。プログラミングではライブラリが計算を抽象化してくれますが、その裏側で何が行われているかを理解することで、より効率的で高度な実装につなげられます。
プログラミング言語「Python」と線形代数
汎用性の高いインタプリタ言語である「Python」は、現代のデータサイエンスおよび機械学習の分野で最も普及している言語の一つです。Pythonと線形代数はどちらも、複雑な事象の簡略化・構造化にたけています。
PythonではNumPyなどの豊富なオープンソースライブラリを通じて、多次元配列を扱った各種演算を高速かつ簡潔に実行することが可能です。また、Pythonはシンプルな文法で読み書きがしやすいことで知られており、例えば行列の乗算を単なる@演算子やdot()関数で実行するなど、直感的に理解しやすい形で線形代数の概念をプログラムに落とし込むことができます。
線形代数とAI・機械学習の関係性
線形代数はAI・機械学習の「共通言語」であり、その理論を理解して実際にコードとして実装する上で不可欠な数理的ツールといえます。ここでは、線形代数の役割と、機械学習に必要な線形代数の知識をお伝えします。
AI・機械学習における線形代数の役割
AI・機械学習において、線形代数は理論と実装の両面で以下のような役割を持っています。
| 役割 |
概要 |
| データの表現と構造化 |
AIが扱う画像や音声といった膨大なデータは、ベクトルや行列などの形式で表現されます。線形代数は、そうした多次元データを効率的に整理整頓する「保管棚」として機能します。 |
| 計算処理の効率化 |
膨大な計算も、線形代数を用いることで効率的かつ高速に実行できます。機械学習の中核をなす計算は、ベクトルの内積や行列の積といった線形代数の演算で簡潔に構成されています。 |
| アルゴリズムの基盤 |
主成分分析 (PCA) や特異値分解、ディープラーニングなどの重要な機械学習アルゴリズムは、固有値や固有ベクトルをはじめとする線形代数の概念に基づいています。 |
このように、線形代数はAI・機械学習の理論的な裏づけであると同時に、大量のデータを効率的に扱い、複雑な問題を解決するための基盤技術でもあるといえます。
機械学習に必要な線形代数の知識
機械学習に欠かせない線形代数の知識は、膨大なデータをベクトルや行列の形式で構造化し、必要な形へと効率的に変換するための基礎概念です。それには例えば、スカラー、ベクトル、行列、テンソル、行列演算、固有値・固有ベクトル、内積空間などが挙げられます。
特に乗算や転置、特異値分解といった行列演算は、主成分分析やニューラルネットワークなどの機械学習における重要なアルゴリズムの計算にも必須であり、大量のデータを高速に処理する基盤となっています。
線形代数とディープラーニングの関係性
ディープラーニングは、人間の脳の神経回路を模倣したニューラルネットワークを多層構造にすることで、複雑なデータから特徴やパターンを自動的に抽出・学習する技術です。以下の図はその全体像を示したものです。

次に、このニューラルネットワークを構成する人工ニューロンが学習を進めていく仕組みをご紹介します。

各ニューロンは、受け取った入力値に「重み」を乗算し、それらの合計に「バイアス」を加えます。この結果を「活性化関数」と呼ばれる非線形の関数に通し、次の層へと信号を伝達します。各層で複数の活性化関数を組み合わせることでデータに合わせた複雑な非線形性を獲得し、多様な表現が可能になります。
データが多層のネットワークを通過する際にこのプロセスを繰り返し、最終的な出力を得ます。学習の過程で予測値と正解値(教師データ)との誤差を計算して、その誤差が最小に近づくように「重み」を更新していきます。
こうしたニューラルネットワークの機能をコンピューター上で実現するための数学的基盤として、線形代数が不可欠な役割を果たしています。入力は数字の列であるベクトルで、ニューロン同士の接続の「重み」(結びつきの強さ)は行列で表されます。

このように、線形代数はディープラーニングの基盤であるニューラルネットワークにおけるデータの表現、変換、そして効率的な計算の根幹をなしています。
エンジニアとして線形代数を学習する方法
AI・機械学習を扱うエンジニアにとって、基礎的な数学への理解を深めることは重要です。中でも線形代数はさまざまな活用がされているため、理系・文系を問わず身につけておくのがお薦めです。ここでは、効果的な学習方法をいくつかご紹介します。
Pythonライブラリを活用しながら学ぶ
エンジニアの目線で線形代数を学習する方法として第一に挙げられるのが、Pythonライブラリの活用です。すでに行列式や逆行列、内積空間といった基本的な線形代数の概念を理解している場合に効果的といえます。
変数やリスト、ループといったPythonの基本的な文法を習得したら、大規模な行列演算が得意なライブラリ「NumPy」を利用します。配列の作成や基本的な演算に関しては、チュートリアルを通じて学ぶことが可能です。行列の積や固有値の計算など、線形代数の理論を直接的にコードで表現すると、より実践的な理解を得られます。
また、応用として、Scikit-learnやPandasといったライブラリを用いて複雑なデータ解析を行うのもお薦めです。例えば、主成分分析などのパラメーターを分析する際に、その結果が出た理由を線形代数の知識に基づいて考えることで、洞察を深めることができます。
書籍・参考書の問題を解く
書籍や参考書の問題を解くことも、線形代数を学ぶのに有効な手段です。
まずは、大学教養レベルの教科書やエンジニア向けの入門書を用意し、ベクトルや行列、線形方程式、固有値といった線形代数の基本的な用語・概念を把握します。基本的な概念を理解できたら、問題集を使って手を動かしながら公式の使い方や計算手順を定着させていきます。このとき、不明点があった問題についてはそのままにせず、解説を読み込んで理解を深めるようにします。
なお、エンジニアにとって重要なのは、机上の問題を解くことではなく、線形代数が実世界の課題解決においてどのように使われているのかを理解することです。ある程度慣れてきた段階で、実際に行列演算などをコードで実装してみるのが望ましいです。
その後は必要に応じて、特異値分解が画像の圧縮に使われる例や、連立一次方程式が構造解析に用いられる例など、紹介されている応用例が豊富な書籍を選ぶと、より理解を深めることができます。
線形代数以外の数学的知識も並行して学ぶ
エンジニアとして線形代数を学習することは重要ですが、それ以外にも並行して学習しておくと効果的な数学的知識がいくつか存在します。ここでは特に重要な微分積分学と確率・統計学についてお伝えします。
線形代数は機械学習や物理シミュレーションにおいて使用される機会が多いですが、これらの分野では最適化問題や変化率を扱うため、微分積分学の知識が必要です。例えば、勾配降下法と呼ばれる最適化アルゴリズムにより、導関数(関数の勾配)を計算してパラメーターを調整することで、精度の高いモデルを構築します。少しでも微分積分学への理解があると、モデルの改善に数学的な観点を生かすことが可能です。
また、データ分析をする上で確率と統計への理解は欠かせません。確率論は未来を予測する際に、統計学は正確なデータ分析を行って客観性を担保する際に活用されます。例えば、経営判断やマーケティング施策の提案といったデータに基づく意思決定は、回帰分析や統計的検定、確率分布といった統計学の知識を基盤として成立しています。
まとめ
ベクトルや行列といった概念で構成される線形代数は、大量のデータを効率的に扱い、現実世界の複雑な問題を解決するための理論体系です。AI・機械学習で用いられる重要なアルゴリズムの核となります。
特にデータ分析やロボット工学などの高度な技術分野で質の向上を追求するには、微分積分学や確率・統計学と同様に、線形代数への深い理解が必要です。学ぶ際にはPythonライブラリを活用するなどして実践的な検証を行うことで、エンジニアとしての強力な下地を築くことができます。
AIエンジニアとしての転職ならSky株式会社
Sky株式会社には、豊富な研修の実施や資格の取得支援をはじめ、技術や知識を共有する企業文化、手を挙げれば挑戦できる土壌など、AIエンジニアとして成長できる環境が整っています。AIエンジニアとしてのキャリアアップや転職を考えている方は、ぜひSky株式会社への応募をご検討ください。